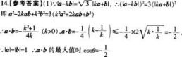
已知向量a,b,满足|a|=|b|=1,且|a-kb|=√3|ka+b|,其中k>0。 (1)试用k表示ab,并求出ab的最大

分类: (中学)数学学科知识与教学能力 发布时间: 2023-11-03 07:39 浏览量: 3

已知向量a,b,满足|a|=|b|=1,且|a-kb|=√3|ka+b|,其中k>0。 (1)试用k表示ab,并求出ab的最大值及此时a与b的夹角θ的值: (2)当ab取得最大值时,求实数A,使|a+λb|的值最小,并对这一结论作出几何解释。