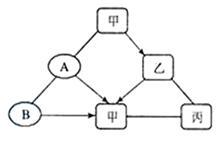
<p>右图中的物质都是初中化学常见物质,其中A、B为单质,B是可供动植物呼吸的气体;甲、乙、丙为化合物,甲与过量的丙、乙与过量的

分类: (中学)化学学科知识与教学能力 发布时间: 2023-11-03 07:41 浏览量: 0

右图中的物质都是初中化学常见物质,其中A、B为单质,B是可供动植物呼吸的气体;甲、乙、丙为化合物,甲与过量的丙、乙与过量的丙两两反应的所有产物相同。图中“—”表示两端的物之间能发生化学反应;“→”表示物质间存在转化关系;部分反应物或生成物已略去。 (1)写出B的化学式___________________;写出一种丙的名称___________________。 (2)写出A和甲反应的化学方程式:___________________。 (3)写出乙→甲的化学方程式:___________________。

(1)O2 氢氧化钠(或氢氧化钙等) (2)C+CO2====2CO (3)H2CO3=CO2↑+H2O