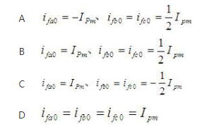
<p>在无限大功率电源供电情况下,如果短路前空载,短路点与电源之间的线路和变压器的电阻参数均可忽略不计,短路发生在A相电压从副半

分类: 电工类 (电网) 发布时间: 2023-11-03 08:51 浏览量: 1

在无限大功率电源供电情况下,如果短路前空载,短路点与电源之间的线路和变压器的电阻参数均可忽略不计,短路发生在A相电压从副半周进入正半周的瞬间,此时三相短路电流中非周期分量的起始值为()

A.A

B.B

C.C

D.D

正确答案是A