首页
>
经济学类 (电网)
> 题目详情
<img alt="" src="https://learnfile.20230611.cn/learnAppQuestion/
分类: 经济学类 (电网)
发布时间: 2023-11-03 09:01
浏览量: 0
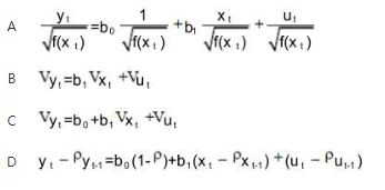
A.A
B.B
C.C
D.D
正确答案是D
← 返回分类
返回首页 →
相关题目
当自变量的数值确定后,因变量的数值也随之完全确定,这种关系属于()
《中华人民共和国营业税暂行条例》属于()
在检验异方差的方法中,不正确的是()
受到市场供求关系的影响,商品的价格与价值经常不一致。这种常见的经济现象体现了()
组距是指每个组变量值中的()
↑