首页
>
管理科学与工程类 (电网)
> 题目详情
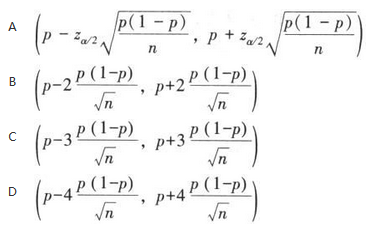
<p>在大样本条件下,若np≥5,且n(1-p)≥5,样本比例在置信水平(1-a)下的置信区间为() <img alt="
分类: 管理科学与工程类 (电网)
发布时间: 2023-11-03 09:02
浏览量: 0
在大样本条件下,若np≥5,且n(1-p)≥5,样本比例在置信水平(1-a)下的置信区间为()
A.A
B.B
C.C
D.D
正确答案是A
← 返回分类
返回首页 →
相关题目
创新是()的重要途径。
若需要比较不同变量之间的结构差异,可采用的图形为()
对于一组数据:10、25、36、40、53、69,中位数为()
政府转移支付乘数等于()
线性规划具有唯一最优解是指()
↑