首页
>
其他工学类 (电网)
> 题目详情
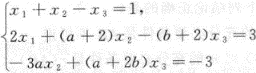
<p>就a,b的不同取值,讨论方程组<img alt="" src="https://learnfile.20230611.cn
分类: 其他工学类 (电网)
发布时间: 2023-11-03 09:09
浏览量: 2
就a,b的不同取值,讨论方程组
,解的情况.
← 返回分类
返回首页 →
相关题目
在Word的编辑状态下,当前输入的文字显示在()。
SaaS是()的简称。
在物理层接口特性中用于描述完成每种功能的事件发生顺序的是()。
十进制数211转换成二进制数为()。
在Word窗口中,如果光标停在某个字符前,当选择某个样式时,该样式起作用的对象为()。
↑