<img alt="" src="https://learnfile.20230611.cn/learnAppQuestion/

分类: 其他工学类 (电网) 发布时间: 2023-11-03 09:09 浏览量: 0

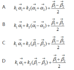
A.A

B.B

C.C

D.D

正确答案是B