<p>已知矩阵<img alt="" src="https://learnfile.20230611.cn/learnAppQu

分类: 其他工学类 (电网) 发布时间: 2023-11-03 09:09 浏览量: 0

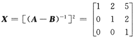
已知矩阵.,且矩阵X满足AXA+BXB=AXB+BXA+E,其中E是三阶单位矩阵,求X.

【解】化简矩阵方程,有AX(A-B)+BX(B-A)=E,即(A-B)X(A-B)=E. 由于,所以矩阵A-B可逆,且于是.