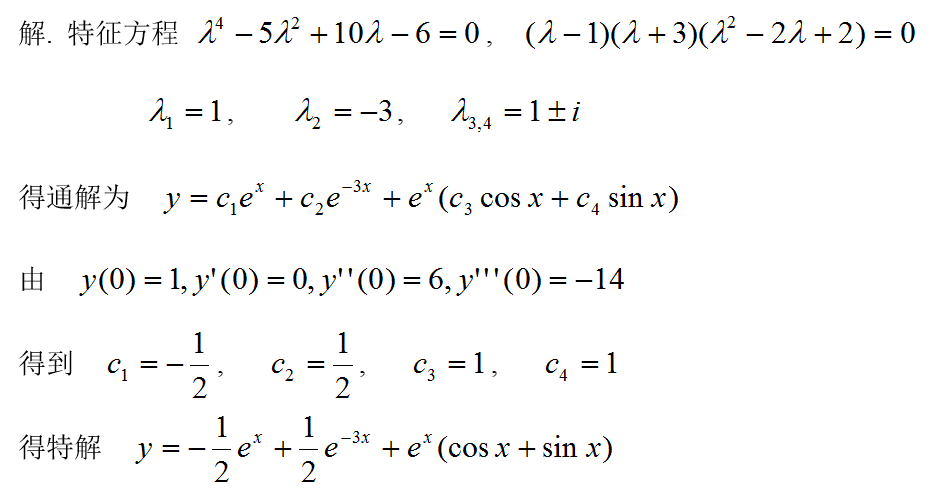
<p>求解微分方程:<img alt="" src="https://learnfile.20230611.cn/learnAp

分类: 其他工学类 (电网) 发布时间: 2023-11-03 09:09 浏览量: 0

求解微分方程: