首页
>
数学1 (军队文职)
> 题目详情
<img alt="" src="https://learnfile.20230611.cn/learnAppQuestion/
分类: 数学1 (军队文职)
发布时间: 2023-11-03 09:28
浏览量: 0
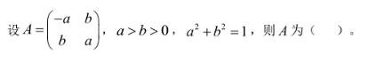
A.正定矩阵
B.初等矩阵
C.正交矩阵
D.正交矩阵
正确答案是C
← 返回分类
返回首页 →
相关题目
<img alt="" src="https://learnfile.20230611.cn/learnAppQuestion/
<img alt="" src="https://learnfile.20230611.cn/learnAppQuestion/
<img alt="" src="https://learnfile.20230611.cn/learnAppQuestion/
<img alt="" src="https://learnfile.20230611.cn/learnAppQuestion/
<img alt="" src="https://learnfile.20230611.cn/learnAppQuestion/
↑