首页
>
数学1 (军队文职)
> 题目详情
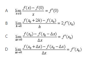
<p>若f(x)可导,则下列各式错误的是《》() <img alt="" src="https://learnfile.202
分类: 数学1 (军队文职)
发布时间: 2023-11-03 09:28
浏览量: 0
若f(x)可导,则下列各式错误的是《》()
A.A
B.B
C.C
D.D
正确答案是D
← 返回分类
返回首页 →
相关题目
<img alt="" src="https://learnfile.20230611.cn/learnAppQuestion/
<img alt="" src="https://learnfile.20230611.cn/learnAppQuestion/
<img alt="" src="https://learnfile.20230611.cn/learnAppQuestion/
<img alt="" src="https://learnfile.20230611.cn/learnAppQuestion/
<img alt="" src="https://learnfile.20230611.cn/learnAppQuestion/
↑