首页
>
数学1 (军队文职)
> 题目详情
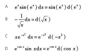
<p>下面等式正确的是().《》() <img alt="" src="https://learnfile.20230611.
分类: 数学1 (军队文职)
发布时间: 2023-11-03 09:28
浏览量: 0
下面等式正确的是().《》()
A.A
B.B
C.C
D.D
正确答案是A
← 返回分类
返回首页 →
相关题目
<img alt="" src="https://learnfile.20230611.cn/learnAppQuestion/
<img alt="" src="https://learnfile.20230611.cn/learnAppQuestion/
<img alt="" src="https://learnfile.20230611.cn/learnAppQuestion/
<img alt="" src="https://learnfile.20230611.cn/learnAppQuestion/
<img alt="" src="https://learnfile.20230611.cn/learnAppQuestion/
↑