首页
>
数学1 (军队文职)
> 题目详情
<img alt="" src="https://learnfile.20230611.cn/learnAppQuestion/
分类: 数学1 (军队文职)
发布时间: 2023-11-03 09:28
浏览量: 0
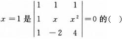
A.充分必要条件
B.充分不必要条件
C.必要非充分条件
D.既不充分也不必要条件
正确答案是B
← 返回分类
返回首页 →
相关题目
<img alt="" src="https://learnfile.20230611.cn/learnAppQuestion/
<img alt="" src="https://learnfile.20230611.cn/learnAppQuestion/
<img alt="" src="https://learnfile.20230611.cn/learnAppQuestion/
<img alt="" src="https://learnfile.20230611.cn/learnAppQuestion/
<img alt="" src="https://learnfile.20230611.cn/learnAppQuestion/
↑