首页
>
数学2 (军队文职)
> 题目详情
<img src="https://learnfile.20230611.cn/learnAppQuestion/c6/9b/c
分类: 数学2 (军队文职)
发布时间: 2023-11-03 09:28
浏览量: 0
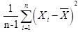
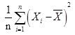
A.
B.
C.
D.
正确答案是B
← 返回分类
返回首页 →
相关题目
<img alt="" src="https://learnfile.20230611.cn/learnAppQuestion/
<img alt="" src="https://learnfile.20230611.cn/learnAppQuestion/
<img alt="" src="https://learnfile.20230611.cn/learnAppQuestion/
<img alt="" src="https://learnfile.20230611.cn/learnAppQuestion/
<img alt="" src="https://learnfile.20230611.cn/learnAppQuestion/
↑