设函数f(x)在x=a的某个邻域内连续,且f(a)为其极大值,则存在δ>0,当x∈(a-δ,a+δ)时,必有()。

分类: 数学2 (军队文职) 发布时间: 2023-11-03 09:28 浏览量: 0

设函数f(x)在x=a的某个邻域内连续,且f(a)为其极大值,则存在δ>0,当x∈(a-δ,a+δ)时,必有()。

A.(x-a)[f(x)-f(a)]≥0

B.(x-a)[f(x)-f(a)]≤0

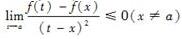
C.

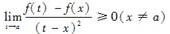
D.

正确答案是C