首页
>
数学2 (军队文职)
> 题目详情
设α=i+k,β=-j+k,与α,β都垂直的单位向量为()。
分类: 数学2 (军队文职)
发布时间: 2023-11-03 09:28
浏览量: 0
设α=i+k,β=-j+k,与α,β都垂直的单位向量为()。
A.±(i+j-k)
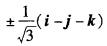
B.
C.
D.
正确答案是B
← 返回分类
返回首页 →
相关题目
<img alt="" src="https://learnfile.20230611.cn/learnAppQuestion/
<img alt="" src="https://learnfile.20230611.cn/learnAppQuestion/
<img alt="" src="https://learnfile.20230611.cn/learnAppQuestion/
<img alt="" src="https://learnfile.20230611.cn/learnAppQuestion/
<img alt="" src="https://learnfile.20230611.cn/learnAppQuestion/
↑