首页
>
数学2 (军队文职)
> 题目详情
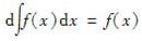
在下列等式中,正确的结果是()。
分类: 数学2 (军队文职)
发布时间: 2023-11-03 09:29
浏览量: 0
在下列等式中,正确的结果是()。
A.
B.
C.
D.
正确答案是C
← 返回分类
返回首页 →
相关题目
<img alt="" src="https://learnfile.20230611.cn/learnAppQuestion/
<img alt="" src="https://learnfile.20230611.cn/learnAppQuestion/
<img alt="" src="https://learnfile.20230611.cn/learnAppQuestion/
<img alt="" src="https://learnfile.20230611.cn/learnAppQuestion/
<img alt="" src="https://learnfile.20230611.cn/learnAppQuestion/
↑