首页
>
数学2 (军队文职)
> 题目详情
设f′(lnx)=1+x,则f(x)=()。
分类: 数学2 (军队文职)
发布时间: 2023-11-03 09:29
浏览量: 0
设f′(lnx)=1+x,则f(x)=()。
A.
B.
C.
D.
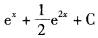
正确答案是C
← 返回分类
返回首页 →
相关题目
<img alt="" src="https://learnfile.20230611.cn/learnAppQuestion/
<img alt="" src="https://learnfile.20230611.cn/learnAppQuestion/
<img alt="" src="https://learnfile.20230611.cn/learnAppQuestion/
<img alt="" src="https://learnfile.20230611.cn/learnAppQuestion/
<img alt="" src="https://learnfile.20230611.cn/learnAppQuestion/
↑