首页
>
数学2 (军队文职)
> 题目详情
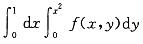
<p>化二重积分为极坐标系下的二次积分,则<img alt="" src="https://learnfile.20230611
分类: 数学2 (军队文职)
发布时间: 2023-11-03 09:29
浏览量: 0
化二重积分为极坐标系下的二次积分,则
等于下列哪一式?
A.A
B.B
C.C
D.D
正确答案是D
← 返回分类
返回首页 →
相关题目
<img alt="" src="https://learnfile.20230611.cn/learnAppQuestion/
<img alt="" src="https://learnfile.20230611.cn/learnAppQuestion/
<img alt="" src="https://learnfile.20230611.cn/learnAppQuestion/
<img alt="" src="https://learnfile.20230611.cn/learnAppQuestion/
<img alt="" src="https://learnfile.20230611.cn/learnAppQuestion/
↑