首页
>
数学2 (军队文职)
> 题目详情
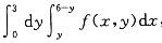
<p>改变积分次序<img alt="" src="https://learnfile.20230611.cn/learnApp
分类: 数学2 (军队文职)
发布时间: 2023-11-03 09:29
浏览量: 0
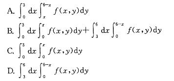
改变积分次序
,则有下列哪一式
A.A
B.B
C.C
D.D
正确答案是B
← 返回分类
返回首页 →
相关题目
<img alt="" src="https://learnfile.20230611.cn/learnAppQuestion/
<img alt="" src="https://learnfile.20230611.cn/learnAppQuestion/
<img alt="" src="https://learnfile.20230611.cn/learnAppQuestion/
<img alt="" src="https://learnfile.20230611.cn/learnAppQuestion/
<img alt="" src="https://learnfile.20230611.cn/learnAppQuestion/
↑