首页
>
数学2 (军队文职)
> 题目详情
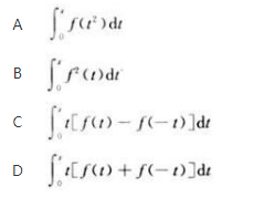
<p>设函数f(x)连续,则下列函数中必为偶函数的是()《》() <img alt="" src="https://learn
分类: 数学2 (军队文职)
发布时间: 2023-11-03 09:29
浏览量: 2
设函数f(x)连续,则下列函数中必为偶函数的是()《》()
A.A
B.B
C.C
D.D
正确答案是D
← 返回分类
返回首页 →
相关题目
<img alt="" src="https://learnfile.20230611.cn/learnAppQuestion/
<img alt="" src="https://learnfile.20230611.cn/learnAppQuestion/
<img alt="" src="https://learnfile.20230611.cn/learnAppQuestion/
<img alt="" src="https://learnfile.20230611.cn/learnAppQuestion/
<img alt="" src="https://learnfile.20230611.cn/learnAppQuestion/
↑