首页
>
数学2 (军队文职)
> 题目详情
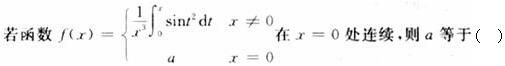
<img alt="" src="https://learnfile.20230611.cn/learnAppQuestion/
分类: 数学2 (军队文职)
发布时间: 2023-11-03 09:29
浏览量: 0
A.1/3
B.3
C.1
正确答案是A
← 返回分类
返回首页 →
相关题目
<img alt="" src="https://learnfile.20230611.cn/learnAppQuestion/
<img alt="" src="https://learnfile.20230611.cn/learnAppQuestion/
<img alt="" src="https://learnfile.20230611.cn/learnAppQuestion/
<img alt="" src="https://learnfile.20230611.cn/learnAppQuestion/
<img alt="" src="https://learnfile.20230611.cn/learnAppQuestion/
↑