首页
>
数学3 (军队文职)
> 题目详情
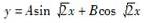
微分方程y″+2y=0的通解是()。
分类: 数学3 (军队文职)
发布时间: 2023-11-03 09:29
浏览量: 0
微分方程y″+2y=0的通解是()。
A.y=Asin2x
B.y=Acosx
C.
D.
正确答案是D
← 返回分类
返回首页 →
相关题目
<img alt="" src="https://learnfile.20230611.cn/learnAppQuestion/
<img alt="" src="https://learnfile.20230611.cn/learnAppQuestion/
已知4阶矩阵A~ B,A的特征值为3,4,5,6,E为4阶单位矩阵,则|B-E|=()
<img alt="" src="https://learnfile.20230611.cn/learnAppQuestion/
<img alt="" src="https://learnfile.20230611.cn/learnAppQuestion/
↑