<img alt="" src="https://learnfile.20230611.cn/learnAppQuestion/

分类: 数学3 (军队文职) 发布时间: 2023-11-03 09:29 浏览量: 0

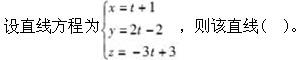
A.过点(-1,2,-3),方向向量为i+2j-3k

B.过点(-1,2,-3),方向向量为-i-2j+3k

C.过点(1,2,-3),方向向量为i-2j+3k

D.过点(1,-2,3),方向向量为-i-2j+3k

正确答案是D