<img alt="" src="https://learnfile.20230611.cn/learnAppQuestion/

分类: 数学3 (军队文职) 发布时间: 2023-11-03 09:29 浏览量: 0

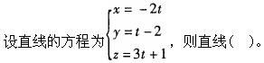
A.过点(0,-2,1),方向向量为2i-j-3k

B.过点(0,-2,1),方向向量为-2i-j+3k

C.过点(0,2,-1),方向向量为2i+j-3k

D.过点(O,2,-1),方向向量为-2i+j+3k

正确答案是A