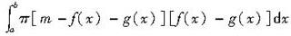
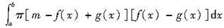
设f(x)、g(x)在区间[a,b]上连续,且g(x)<f(x)<m(m为常数),由曲线y=g(x),y=f(x),x=a及x=

分类: 数学3 (军队文职) 发布时间: 2023-11-03 09:29 浏览量: 0

设f(x)、g(x)在区间[a,b]上连续,且g(x)<f(x)<m(m为常数),由曲线y=g(x),y=f(x),x=a及x=b所围平面图形绕直线y=m旋转而成的旋转体体积为()。

A.

B.

C.

D.

正确答案是B