首页
>
数学3 (军队文职)
> 题目详情
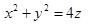
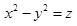
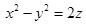
已知直线L1过点M1(0,0,-1)且平行于X轴,L2过点M2(0,0,1)且垂直于XOZ平面,则到两直线等距离点的轨迹方程为(
分类: 数学3 (军队文职)
发布时间: 2023-11-03 09:29
浏览量: 0
已知直线L1过点M1(0,0,-1)且平行于X轴,L2过点M2(0,0,1)且垂直于XOZ平面,则到两直线等距离点的轨迹方程为()。
A.
B.
C.
D.
正确答案是D
← 返回分类
返回首页 →
相关题目
<img alt="" src="https://learnfile.20230611.cn/learnAppQuestion/
<img alt="" src="https://learnfile.20230611.cn/learnAppQuestion/
已知4阶矩阵A~ B,A的特征值为3,4,5,6,E为4阶单位矩阵,则|B-E|=()
<img alt="" src="https://learnfile.20230611.cn/learnAppQuestion/
<img alt="" src="https://learnfile.20230611.cn/learnAppQuestion/
↑