首页
>
数学3 (军队文职)
> 题目详情
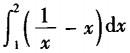
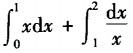
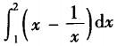
设曲线y=1/x与直线y=x及x=2所围图形的面积为 A,则计算A的积分表达式为().
分类: 数学3 (军队文职)
发布时间: 2023-11-03 09:29
浏览量: 2
设曲线y=1/x与直线y=x及x=2所围图形的面积为 A,则计算A的积分表达式为().
A.
B.
C.
D.
正确答案是B
← 返回分类
返回首页 →
相关题目
<img alt="" src="https://learnfile.20230611.cn/learnAppQuestion/
<img alt="" src="https://learnfile.20230611.cn/learnAppQuestion/
已知4阶矩阵A~ B,A的特征值为3,4,5,6,E为4阶单位矩阵,则|B-E|=()
<img alt="" src="https://learnfile.20230611.cn/learnAppQuestion/
<img alt="" src="https://learnfile.20230611.cn/learnAppQuestion/
↑