首页
>
数学3 (军队文职)
> 题目详情
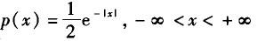
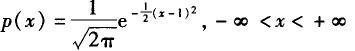
已知某个连续型随机变量X的数学期望E(X)=1,则X的概率密度函数不可能是().
分类: 数学3 (军队文职)
发布时间: 2023-11-03 09:29
浏览量: 0
已知某个连续型随机变量X的数学期望E(X)=1,则X的概率密度函数不可能是().
A.
B.
C.
D.
正确答案是B
← 返回分类
返回首页 →
相关题目
<img alt="" src="https://learnfile.20230611.cn/learnAppQuestion/
<img alt="" src="https://learnfile.20230611.cn/learnAppQuestion/
已知4阶矩阵A~ B,A的特征值为3,4,5,6,E为4阶单位矩阵,则|B-E|=()
<img alt="" src="https://learnfile.20230611.cn/learnAppQuestion/
<img alt="" src="https://learnfile.20230611.cn/learnAppQuestion/
↑