将质量为m的物体在空气中竖直上抛,初速度为vo,若空气阻力与物体的速度V(t)(t是时间)成正比,比例系数为k,g为重力加速度.

分类: 数学3 (军队文职) 发布时间: 2023-11-03 09:29 浏览量: 1

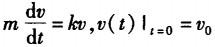
将质量为m的物体在空气中竖直上抛,初速度为vo,若空气阻力与物体的速度V(t)(t是时间)成正比,比例系数为k,g为重力加速度.V(t)所满足的微分方程及初始条件是().

A.

B.

C.

D.

正确答案是C