首页
>
数学3 (军队文职)
> 题目详情
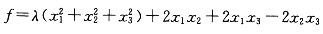
<p>设二次型<img alt="" src="https://learnfile.20230611.cn/learnAppQu
分类: 数学3 (军队文职)
发布时间: 2023-11-03 09:30
浏览量: 0
设二次型
当λ为何值时,f是正定的?
A.λ>1
B.λ>2
C.λ>2
D.λ>0
正确答案是C
← 返回分类
返回首页 →
相关题目
<img alt="" src="https://learnfile.20230611.cn/learnAppQuestion/
<img alt="" src="https://learnfile.20230611.cn/learnAppQuestion/
已知4阶矩阵A~ B,A的特征值为3,4,5,6,E为4阶单位矩阵,则|B-E|=()
<img alt="" src="https://learnfile.20230611.cn/learnAppQuestion/
<img alt="" src="https://learnfile.20230611.cn/learnAppQuestion/
↑