<p>一质点沿y轴方向做简谐振动,振幅为A,周期为T,平衡位置在坐标原点。在t=0时刻,质点位于y正向最大位移处,以此振动质点为

分类: 物理 (军队文职) 发布时间: 2023-11-03 09:30 浏览量: 0

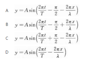
一质点沿y轴方向做简谐振动,振幅为A,周期为T,平衡位置在坐标原点。在t=0时刻,质点位于y正向最大位移处,以此振动质点为波源,传播的横波波长为λ,则沿x轴正方向传播的横波方程为()

A.A

B.B

C.C

D.D

正确答案是C