首页
>
物理 (军队文职)
> 题目详情
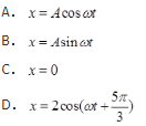
<p>一质点同时参与了三个简谐振动,它们的振动方程分别为 <img alt="" src="https://learnfile
分类: 物理 (军队文职)
发布时间: 2023-11-03 09:31
浏览量: 0
一质点同时参与了三个简谐振动,它们的振动方程分别为
其合成运动的运动方程为x=( )。
A.A
B.B
C.C
D.D
正确答案是C
← 返回分类
返回首页 →
相关题目
关于可逆过程和不可逆过程的判断:①可逆热力学过程一定是准静态过程②准静态过程一定是可逆过程③不可逆过程是不能向相反的方向进行的过
一个光子和一个电子具有相同的波长,则()《》()
在驻波中,两个相邻波节间各质点的振动为()《》()
一轻绳绕在有水平轴的定滑轮上,滑轮的转动惯量为J,绳下端挂一物体。物体所受重力为P,滑轮的角加速度为α。料将物体去掉而以与P相等
<p>速度为v的子弹,打穿一块不动的木板后速度为零。设木板对子弹的阻力是恒定的,当子弹射入木板的深度等于其厚度的一半时,子弹的速
↑