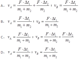
两块并排的木块A和 B,质量分别为m1和m2,静止地放置在光滑的水平面上,一子弹水平地穿过两木块,设子弹穿过两木块所用的时间分

分类: 物理 (军队文职) 发布时间: 2023-11-03 09:31 浏览量: 1

两块并排的木块A和 B,质量分别为m1和m2,静止地放置在光滑的水平面上,一子弹水平地穿过两木块,设子弹穿过两木块所用的时间分别为△t1和△t2,木块对子弹的阻力为恒力

A.则子弹穿出后,木块

B.B的速度大小分别为(  )。

C.

D.

正确答案是C