首页
>
化学 (军队文职)
> 题目详情
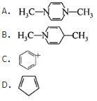
<p>下列化合物或离子中有芳香性的是( )。 <img alt="" src="https://learnfile.2023
分类: 化学 (军队文职)
发布时间: 2023-11-03 09:31
浏览量: 0
下列化合物或离子中有芳香性的是( )。
A.A
B.B
C.C
D.D
正确答案是C
← 返回分类
返回首页 →
相关题目
<p>依据下列说法判断相应元素的金属性,非金属性强弱,不合理的是() <img alt="" src="https://l
下列关于有机物的叙述正确的是()
<p>下列标出水合离子的颜色,其中正确的是()。 <img alt="" src="https://learnfile.2
<img alt="" src="https://learnfile.20230611.cn/learnAppQuestion/
1999年1月,俄美科学家联合小组宣布合成出114号元素的一种同位素,该同位素原子的质量数为298。以下叙述不正确的是()
↑