首页
>
政法干警
> 题目详情
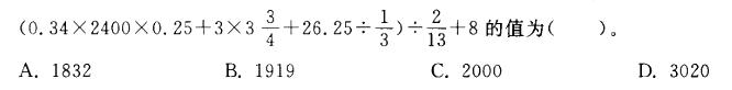
<img alt="" src="https://learnfile.20230611.cn/learnAppQuestion/
分类: 政法干警
发布时间: 2023-11-03 10:50
浏览量: 0
A.A
B.B
C.C
D.D
正确答案是B
← 返回分类
返回首页 →
相关题目
中国古代农业耕作方式演变的趋势是:
马克思指出,扩大再生产过程中的追加成本,“是资本化的剩余价值。它一开始有一个价值原子不是由别人的无酬劳动产生的”。这句话表明:
某工作单位组织职员观看反腐败题材的电影,并在观后进行讨论。这种管理方式属于:
在有核武器的国家中,第一个宣布不首先使用核武器的国家是:
“天上一日,人间一年”蕴含的理论是:
↑