首页
>
鉴定题库-电力电缆工高级技师试题
> 题目详情
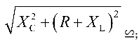
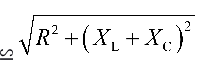
在R、L、C串联电路中,复数阻抗的模Z=( )。
分类: 鉴定题库-电力电缆工高级技师试题
发布时间: 2023-11-10 04:01
浏览量: 0
在R、L、C串联电路中,复数阻抗的模Z=( )。
A.
B.
C.
D.
正确答案是C
← 返回分类
返回首页 →
相关题目
<p>如图D-13正弦交流电路中,X<sub>L</sub><X<sub>C</sub>电流表A,A<sub>1</sub>,A
有一单相桥式整流电路,由于f=50Hz,U=220V的电源供电,输出的直流电压U<sub>0</sub>=45V,负载电流I<s
电缆直流耐压试验后要经放电电阻放电,否则会损坏设备,放电电阻小于多少线路会发生振荡?用数学公式表达发生振荡的频率和电流?当放电电
<p>一条充油电缆线路安装如图D-12所示,设最小油压P<sub>min</sub>=0.02MPa,最大油压P<sub>max
<p>我们在计算如图所示的凹曲面垂直弯曲部分牵引力时,用以下公式<img src="https://learnfile.2023
↑