首页
>
风电专业考试题库
> 题目详情
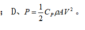
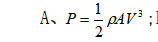
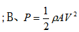
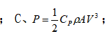
风轮从风中吸收的功率P为(其中C<sub>P</sub>为风能利用率,A为扫掠面积,为空气密度ρ,v为风速,R为风轮扫掠
分类: 风电专业考试题库
发布时间: 2023-11-10 04:33
浏览量: 0
风轮从风中吸收的功率P为(其中C
P
为风能利用率,A为扫掠面积,为空气密度ρ,v为风速,R为风轮扫掠面积)
。()
A.
B.
C.
D.
正确答案是C
← 返回分类
返回首页 →
相关题目
13、发电机检测时,我们发现定子侧各相线圈的直流电阻值分别为0.24欧,0.28欧,0.20欧,请计算此三相绕组的线不平衡率
12、已知某地测风在Z<sub>1</sub>20m高度处的风速V1=23m/s,则在高度Zn10m的风速为多少(地表粗糙度指数
11、某地年平均风速为7.5m/s,空气密度ρ为1.2kg/m<sup>3</sup>,求作用在物体上的风压p?若风轮扫
10、某台风力发电机全年维修用时72h,故障停机228h,试求该机组的年可利用率(时数均按自然时数计)。
9、已知某风力发电机组的风轮直径为40m,其风能利用系数K是0.45,求在风速为10m/s时,该风力发电机组的风轮输出功率是多少
↑