首页
>
风电运行试题库
> 题目详情
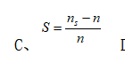
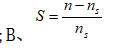
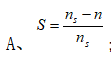
双馈异步发电机的转差率S(其中ns为同步转速,n为发电机转子转速)为 。()
分类: 风电运行试题库
发布时间: 2023-11-10 06:16
浏览量: 0
双馈异步发电机的转差率S(其中ns为同步转速,n为发电机转子转速)为 。()
A.
B.
C.
D.
正确答案是A
← 返回分类
返回首页 →
相关题目
变压器过负荷运行时应检查哪些项目?
运行中的变压器发生哪些情况应将变压器重瓦斯压板由跳闸位置切换到信号位置?
在操作联片时应注意什么?
电压互感器停电应如何操作?
出现哪些情况应将电容器停运?
↑