首页
>
线路工中级工试题
> 题目详情
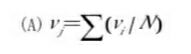
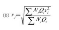
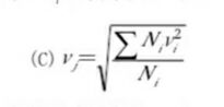
<p>设置曲线超高计算公式 <img src="https://learnfile.20230611.cn/learnAppQu
分类: 线路工中级工试题
发布时间: 2023-12-01 12:13
浏览量: 0
设置曲线超高计算公式
,vj 应采用( )。
A.
B.
C.
D.
正确答案是D
← 返回分类
返回首页 →
相关题目
既有线中线测量可以在路肩上设外移桩方法进行。( )
水准面上任一点的铅垂线都与水准面平行。( )
水准测量仪粗略调平后,先调整目镜对光螺旋使十字丝清晰,用望远镜的准星瞄准水准尺。( )
两点的高程差,用绝对高程计算和用假定高程计算,其结果是不等的。( )
水准原点是全国高程测量的起始点。( )
↑