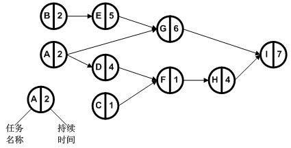
<p>某项目主要由A~I任务构成,其计划图(如下图所示)展示了各任务之间的前后关系以及每个任务的工期(单位:天),该项目的关键路

分类: (中级) 网络工程师 发布时间: 2023-11-03 05:15 浏览量: 1

某项目主要由A~I任务构成,其计划图(如下图所示)展示了各任务之间的前后关系以及每个任务的工期(单位:天),该项目的关键路径是B→E→G→I。在不延误项目总工期的情况下,任务A最多可以推迟开始的时间是()天。

B.2

C.5

D.7

正确答案是B