首页
>
(中级) 网络工程师
> 题目详情
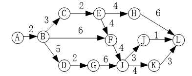
<p>某软件项目的活动图如下图所示,其中顶点表示项目里程碑,连接顶点的边表示包含的活动,边上的数字表示活动的持续天数,则完成该项
分类: (中级) 网络工程师
发布时间: 2023-11-03 05:16
浏览量: 0
某软件项目的活动图如下图所示,其中顶点表示项目里程碑,连接顶点的边表示包含的活动,边上的数字表示活动的持续天数,则完成该项目的最少时间为()天。
A.17
B.19
C.20
D.22
正确答案是D
← 返回分类
返回首页 →
相关题目
Thetraditionalwayofallocatingasinglechannelamongmultiplecompetin
ICMP协议数据单元封装在()中
在进行域名解析过程中,由(37)获取的解析结果耗时最短。
在CPU中,常常来为ALU执行算术逻辑运算提供数据并暂存运算结果的寄存器是()。
若用256KX8bit的存储器芯片,构成地址40000000H到400FFFFFH且按字节编址的内存区域,则需()片芯片
↑