某写字楼的持有期估计为l0年,预测其未来第一年的有效毛收入为50万元,运营费用为18万元,有效毛收入每年增长5%,运营费用每年增

分类: 估价理论与方法 发布时间: 2023-11-03 06:19 浏览量: 0

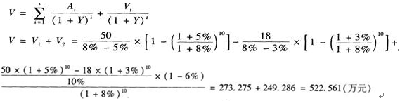
某写字楼的持有期估计为l0年,预测其未来第一年的有效毛收入为50万元,运营费用为18万元,有效毛收入每年增长5%,运营费用每年增长3%;该类房地产的报酬率为8%,持有期结束时的资本化率为10%,转让税费为转售价格的6%。 请计算该写字楼目前的收益价值。

选用预知未来若干年后价格的收益公式: 注:本题中应注明期间报酬率和期末报酬率相同,均为8%。