5年前,甲方出地、乙方出资合作建设一幢写字楼。甲方当时提供的土地面积为1000㎡、使用期限为50年。合作建设的写字楼建筑面积为5

分类: 估价理论与方法 发布时间: 2023-11-03 06:19 浏览量: 0

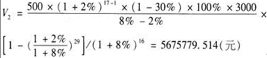
5年前,甲方出地、乙方出资合作建设一幢写字楼。甲方当时提供的土地面积为1000㎡、使用期限为50年。合作建设的写字楼建筑面积为5000㎡,建设期为1年。根据甲乙双方约定,建成后的写字楼建筑面积中2000㎡归甲方所有,3000㎡由乙方使用20年,使用期满后无偿归甲方所有。2年前,甲方将其所有的2000㎡与丙方签订了16年的租赁合同,合同约定租金每2年支付一次,支付时间为第2年末,支付标准为1000元/㎡,且合同期内租金不变。目前市场上类似写字楼的正常年租金为500元/㎡,年租金递增率为2%,运营费用率为30%,出租率为100%。现在,乙方有意收购甲方在该写字楼中的全部权益,甲方也乐意出售。假设该类房地产的报酬率为8%,请计算乙方收购甲方权益的合理价格。

甲方权益的合理价格包含两部分:一是甲方2000㎡的收益价值,在价值时点之后14年内采用租约租金计算,在14年后的31年间(50年-5年-14年)采用市场租金计算;二是乙方3000㎡建筑面积29年(50年-5年-16年)的收益价值。 (1)甲方2000㎡的收益价值V1为为: =7288918.083+4350013.621=11638931.7(元)。 (2)乙方3000㎡建筑面积29年的收益价值V2为: (3)甲方权益的合理价格=V1+V2=17314711.21(元)。