某空置的无电梯旧写字楼的建筑面积为2000㎡,剩余经济寿命为35年,在价值时点,同类无电梯写字楼的市场租金为1.5元/㎡?天,空

分类: 估价理论与方法 发布时间: 2023-11-03 06:19 浏览量: 0

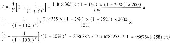
某空置的无电梯旧写字楼的建筑面积为2000㎡,剩余经济寿命为35年,在价值时点,同类无电梯写字楼的市场租金为1.5元/㎡?天,空置率为6%;同类有电梯写字楼的市场租金为1.8元/㎡?天,空置率为4%。预计5年后该写字楼旁边将新建一大型购物中心,到那时同类有电梯写字楼的市场租金将上涨到2元/㎡?天,空置率将降为2%;同类无电梯写字楼的市场租金及空置率将不变。在价值时点,如果对该写字楼单独增加电梯,其必要费用为180万元,而假设对该写字楼进行重置并随同增加电梯,其必要费用仅为150万元。已知报酬率为10%,运营费用率为25%,每年计365天,请通过计算判断该写字楼无电梯的功能缺乏是否可修复;计算获知兴建大型购物中心后该写字楼的总价值。

(1)①该写字楼无电梯的功能缺乏可以修复。 ②理由:由题意,增加电梯所能带来的房地产价值增加额为: 修复成本180万元小于房地产价值增加额242.26万元。 (2)①由题意,该写字楼的年净收益=1.5×(1-6%)×2000×365×(1-25%)=77.20(万元); ②兴建大型购物中心后该写字楼的总价值为: ③获知兴建大型购物中心后该写字楼的总价值=有电梯的写字楼现时价格-功能缺乏折旧=986.76-180=806.76(万元)。